团队简介:
jinnianhui今年会jinnianhui今年会信息技术科研团队,成立于2017年,目前有成员10人,主要从事信息与通信工程学科相关的项目研究和开发。团队主要研究方向有:机器视觉与图像处理分析应用、智能计算与遥感影像处理、脑电信号的分析和处理、水下声学信息感知、雷达信号跟踪等。近三年先后主持或参与国家级科研项目4项,省部级科研项目3项;地市厅局级科研项目3项;校级科研项目6项;横向项目5项。共计发表论文40余篇,其中SCI检索论文6篇,EI检索论文8篇,科技核心论文15篇;实用新型专利10项,软件著作权20项。

团队成果介绍:
1.水下目标探测
针对水下运动小目标探测的需要,建立了运动目标的多脉冲回波模型,研究了基于距离走动校正的解匀速运动目标距离模糊方法和抑制脉冲干扰的多脉冲回波非线性积累方法,实现了水下小目标回波能量的有效积累和强脉冲干扰下微弱目标回波的可靠检测。研究成果可直接应用于反蛙人探测声呐、天空水一体化反恐警戒网络等,实现对蛙人、蛙人运载器、AUV等水下小目标的探测和预警。也可推广应用于声呐、鱼雷自导、水雷、水下无人航行器等装备或水声系统,提高其精确探测及目标识别能力。

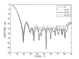
2.高低频混合方法分析天线罩电磁特性
高低频混合方法分析天线罩电磁特性:针对非均匀复杂结构的天线罩分析问题,提出了天线罩计算的混合体积分方程—物理光学方法,该方法能够准确实现非均匀天线罩的分析并有效控制计算规模。改进了天线罩计算的混合有限元—物理光学方法,通过在高低频计算区域分界处建立耦合边界条件,提高了该混合算法的精确程度。


3. 海洋环境电磁散射特性与雷达成像仿真
提出了一种适用于处理大斜视SAR回波信号的改进距离多普勒算法。针对传统的距离多普勒算法仅适用于低斜视角情况的弊端,通过分析了大斜视SAR回波信号特征,提出了一种改进的距离多普勒算法,该算法直接在距离频域方位时域进行距离徙动校正,整个处理过程避免了插值操作,显著提高了计算的效率。此外该算法能够考虑高阶近似相位误差的影响,从而获得更为精确的SAR图像。该算法可应用于实际SAR回波信号处理中。



4.深度学习的雷达信号跟踪
基于深度学习的雷达信号跟踪课题应用基于深度学习中的循环神经网络算法实现对雷达机动目标运动轨迹的精确跟踪和定位。


5.智能工具箱识别
智能化航空维修工具存管项目应用基于HOG的图像处理算法在ARM智能硬件上实现了对存管工具的自动识别。
